windows10概念视频教程-(windows10教学讲解视频)
windows10概念视频教程
(windows10教学讲解视频)
045 fdist
助记:英语助记:英语:F-distribution”
类别:统计
语法:
fdist(x,degrees_freedom1,degrees_freedom2)
参数:三个参数
x 用于计算分布的参数值degrees_freedom1 是分子的自由值degrees_freedom2 分母的自由值说明:
如果参数为非数值型,返回#VALUE!错误。错误。参数degrees_freedom1.2截尾取整。要求0≤x,1≤degrees_freedom 1、2≤10^10,否则返回错误值#NUM!。函数FDIST计算公式为FDIST=P(F>x),其中F为呈F分布且带有2个自由度的随机变量。用法:返回F概率分布。使用此函数可以确定两个数据集是否有不同程度的变化。
043 finv
助记:英语助记:英语:F-distribution inverse”
类别:统计
语法:
finv(probability,degrees_freedom1,degrees_freedom2)
参数:三个参数
probability 与F累积分布相关的概率值degrees_freedom1 它是分子的自由度值,即第一自由度degrees_freedom2 分母的自由度值,即第二自由度说明:
若参数为非数值型,返回#VALUE!错误。错误。参数degrees_freedom1.2截尾取整。要求0≤probability≤1,1≤degrees_freedom1、2<10^10,否则返回错误值#NUM!。函数FINV精度取决于FDIST的精度。使用迭代搜索技术,如果搜索在100次迭代后不收敛,返回错误#N/A。用法:返回F分布的反函数值,即F分布的临界值。
1)关于F分布的具体内容的解释让我很困惑,一般分为屠龙术,可以自己分布百度F。如果你真的不。手机截图。

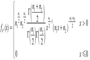
2)本电子书中概率密度的公式如下:

3)制作简单的F分布计算器Excel输入下图中的标题、数据和公式非常简单,D2单元格为“=fdist(A2,B2,C2)”,D4单元格为“=finv(A4,B4,C4)”。

为防止函数出错,可增加限制条件。选择A单元格,点击数据标签,在数据工具区域中选择数字有效性。

同样,按住CTRL同时,依次选择键B2、C2、B4、D4单元格设置数据的有效性如下。(可以允许为整数,不需要截尾取整)

6)A4单元格为0~1之间的小数,自行设置,不上图。
7)当然也很容易做成概率图,比如网上搜索到的两个表。


8)对应的表格只使用一个公式,对应∞的值就用10^10近似好了。


9)搜索制作其他表格。

10)如果您想根据定义制作上述F分布图像,您需要使用以下函数并使用它=exp(gammaln伽马函数(伽马函数)伽马函数。

以下两个自由度均为20的图像为例。

11)公式太长,不输入,但图像基本一致。改变两个自由值,就会得到其他曲线。


(待续)